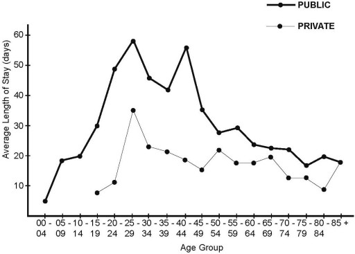
The provided line graph illustrates the average length of stay for serious injuries across different age groups in private and public hospitals in Queensland, Australia.
Overall, it is evident that there are variations in the average length of stay for serious injuries between private and public healthcare facilities across different age groups.
In terms of public healthcare, the average length of stay shows an increasing trend with age, reaching its peak in the 50–54 age group with approximately 57 days. Conversely, in private healthcare, the average length of stay peaks in the 40–44 age group at around 35 days. The lowest average stays for both public and private healthcare are observed in the 5–9 age group, with public healthcare at around 17 days and private healthcare at approximately 14 days.
Notably, the data highlights that public healthcare consistently exhibits longer average stays across all age groups compared to private healthcare. These disparities are most prominent in the younger age groups, gradually diminishing with increasing age. For instance, in the 0–4 age group, public healthcare shows an average stay of about 41 days, whereas private healthcare records approximately 28 days. This trend continues through the various age groups, indicating a consistent pattern of longer average stays in public healthcare compared to private healthcare.
